Chiar înainte de a muri (în luna martie), Stephen Hawking, fizicianul cunoscut pentru ideile sale revoluționare legate de întrebările fundamentale despre univers și existență, a reușit să termine lucrarea ”A smooth exit from eternal inflation?”, unde explică mai multe teorii despre cum am putea să detectăm dacă ideea universurilor parelele este reală sau nu și aduce în discuție și echipamentele care ne-ar putea ajuta să realizăm asta.
Lucrarea explică cum am putea detecta ce legi ale fizicii sunt prezente în alte universuri, asta în ideea că odată cu Big Bang au fost create mai multe. Dacă există o infinitate de universuri și legile fizicii li se aplică, cum de noi putem exista aici?
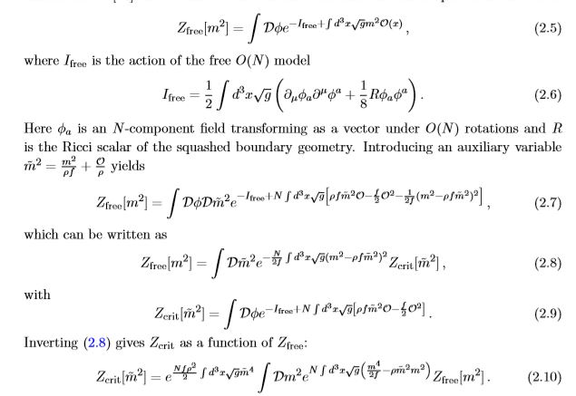
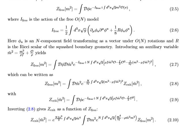
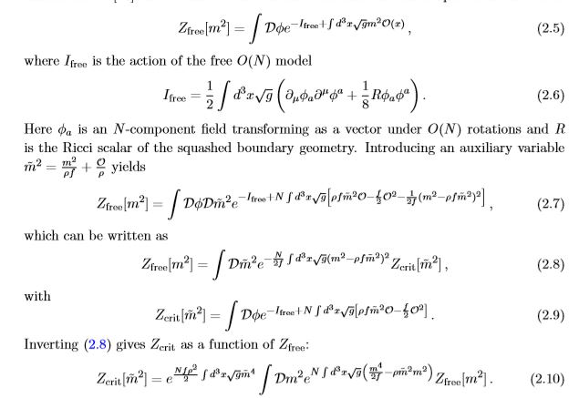
Ei bine, lucrarea are doar 14 pagini și dacă aveți cunoștințele necesare de fizică și matematică, atunci e posibil să înțelegeți ceva din ea.
Vă dau doar un exemplu:
Să nu vă imaginați că e ușor de citit. Uitați sumarul:
”The usual theory of inflation breaks down in eternal inflation. We derive a dual description of eternal inflation in terms of a deformed Euclidean CFT located at the threshold of eternal inflation. The partition function gives the amplitude of different geometries of the threshold surface in the no-boundary state. Its local and global behavior in dual toy models shows that the amplitude is low for surfaces which are not nearly conformal to the round three-sphere and essentially zero for surfaces with negative curvature. Based on this we conjecture that the exit from eternal inflation does not produce an infinite fractal-like multiverse, but is finite and reasonably smooth.”
Oricum, vroiam doar să vă spun că lucrarea ”A smooth exit from eternal inflation?„ este publicată și poate fi consultată de oricine aici.
Co-autorul lui Hawking, Thomas Hertog susține că s-ar putea ca în loc de o infinitate de universuri paralele să existe doar câteva, tot ceea ce se discută în lucrare este la nivel teoretic și poate că la un moment dat o să fie și dovedit ce se discută acolo.
Stephen Hawking, vorbind despre multiverse:
Posibilitățile deschise de lucrarea ”A smooth exit from eternal inflation?” sunt interesante din perspectiva bazelor puse în direcția construirii unor echipamente care să poată dovedi (sau nu) existența universurilor paralele.




Ceva mai pe intelesul oamenilor normali: https://www.sciencealert.com/stephen-hawking-s-last-physics-paper-theory-on-eternal-inflation-multiverses